主办单位:世界华人UFO联合会

世界华人UFO信息网

当前位置: 网站首页 > 探索发现 > 生命-外星人 > 文章

8年共与外星人发生11次接触,没人信,直到他写出这些诡异方程

时间:2016-07-17    点击: 次    来源:网络    作者:佚名   - 小 + 大

      上图是本文主人公斯坦·罗曼尼克(Stan Romanek)在他第一次与外星人接触后所画的外星人形象,他将这些外星人称之为“负鼠脸”。在这一篇文章,小编将带领大家见证外星人接触案中最为不可思议的一案,从2000年到2008年,斯坦一共与外星人接触11次!在这11次第三类接触中,他被灌输神秘的方程式,给他看外星人家乡的星图,甚至与外星女子配种。过去几年,斯坦上过无数的电视采访节目,他所拍摄的外星人录像也一度饱受争议,最为奇特的是,只有小学水平的他居然在催眠下写出神秘方程式。

      他和外星人的联系似乎冥冥早已注定。在5岁的时候,他遇上了一个有着蓝色眼睛的陌生女人,她用心灵感应对小斯坦说:“你很特别,你长大后有重要的任务要完成。”整个童年期间,这个女人时不时出现在斯坦身边。


      终于,到了2001年9月,属于斯坦的第三类接触正式开始了。当天晚上,不少人注意到斯坦家附近天空中出现一个红色UFO。此时,斯坦家出现了敲门声,一打开门,三个长相奇特的外星人出现在他家门口。第二天醒来,斯坦完全失忆了,除了手上的奇怪伤口!最惊奇的是,这些伤口在紫外光下会发光。

(图:斯坦的伤口在紫外光下发光)


      从此之后,外星人就一直密切关注着斯坦,同时在他家中多次拍到会发光的球形物体,这些物体仿佛一直在监视斯坦。


(图:有研究者认为图中的黑影是可随意非物质化的外星人)


      而斯坦外星人接触案最不可思议的就是斯坦在催眠下或者在意念操控下写出的方程式,这些方程式仿佛在向我们传达某种信息,这也一直困扰着不少尝试破解的数学家和物理学家。



      这是斯坦在2002年7月第一次接触后通过催眠写下的方程式。这个方程式随后送到内布拉斯加大学给物理学家破解。神奇的是,上面似乎向我们展示了第115号元素,而该元素直到2004年才被发现。一位在51区工作的人员Bob Lazar就曾爆料过,115元素用来当作UFO推进系统的原料!

       而左下角则显示了某种行星系统,对照星图可以发现,这是猎户座腰带的某个位置。而右下角则是大名鼎鼎的德雷克公式,这是美国天文学家德雷克提出的一条用来推测“可能与我们接触的银河系内外星球高智文明的数量”的公式。但斯坦的方程式中该公式后面多了一个乘以100(×100)!莫非外星人想表达的是:存在地外生命星球的数量比我们想象的要多得多?!



      这是在02年7月斯坦所写的另一个示意图。研究得知,这是 2012年9月21日的秋分点。



      2002年9月3日,斯坦醒来后发现了床上到处是笔和纸,该方程式就在他旁边。斯坦完全不知道怎么回事。



      这是斯坦在03年10月10日一场异常清晰的梦后所画的。他无论如何也无法徒手画出相同精确度的第二幅图。一些研究者发现,这似乎显示了一种星际旅行的方法。



(图:研究者发现了猎户座大星云)

      在接下的几年,斯坦在催眠下连续写出了一连串的方程式:

(图: 2005年8月17日斯坦睡眠时所作)


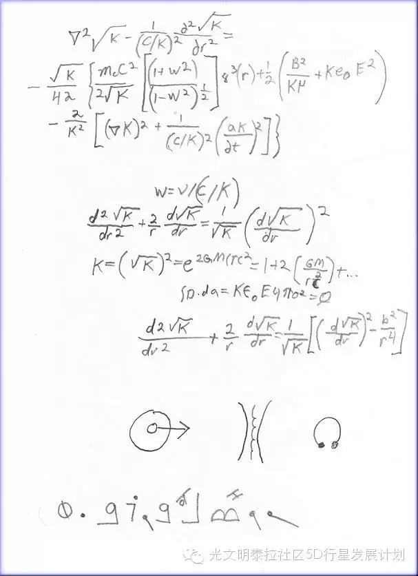
(图:2006年9月28日斯坦在初晨所作,当时妻子和其他人目睹了全过程。斯坦一边和某个先知谈话一边写该方程式)

      不少物理学家表示,这些方程式表示了电磁场量、零点能以及弯曲的时空等内容!真是不可思议!

      在上面的方程式中,我们大致猜到了这些外星人来自猎户座,距离地球1500光年。有意思的是埃及大金字塔的位置刚好与猎户座的“腰带三星”准确对应。

看来外星人从远古开始就参与到人类文明当中了!来自猎户座的宇宙邻居们,你们好吗?

上一篇:首批将与人类正式公开接触的外星人

下一篇:在地球之外的另类行星中居然发现有生命迹象!

栏目导航